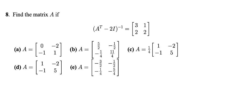
Question: 8. Find the matrix A if (a) A = (b) A = -1 1 1 (d) A = [ 7 ] (e) A =
8. Find the matrix A if (a) A = (b) A = -1 1 1 (d) A = [ 7 ] (e) A = 5 (AT -21)-1 = [3} } ] NICT 121251 TE 14 321 (c) A = 2 1 1 [47] 5
Step by Step Solution
There are 3 Steps involved in it
Get step-by-step solutions from verified subject matter experts
