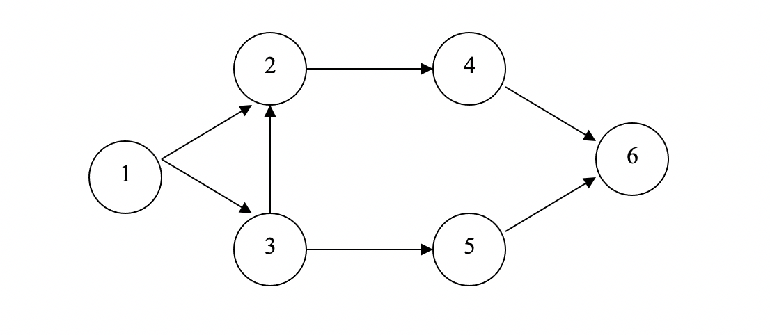
Question: 8. For the following maximal flow network node 1 is the source and node 6 is the destination: What information is missing from the problem
8. For the following maximal flow network node 1 is the source and node 6 is the destination:

What information is missing from the problem data above?
A. Demand or Supply at Each Node
B. There is no information missing
C. Flow Capacity for Each Arc (or path)
D. Missing Arrow at Node 3 to indicate two-way flow between Nodes 2 & 3
9Step by Step Solution
There are 3 Steps involved in it
Get step-by-step solutions from verified subject matter experts
