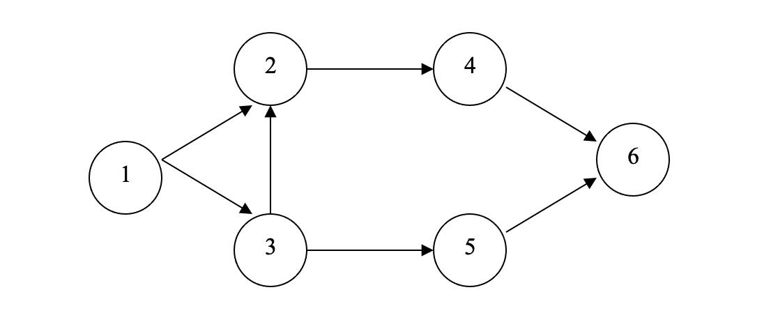
Question: For the following maximal flow network node 1 is the source and node 6 is the destination: What is the constraint associated with Node 6?
For the following maximal flow network node 1 is the source and node 6 is the destination:

What is the constraint associated with Node 6?
A. X46 + X56 X61 = 0
B. X46 + X56 X61 = 1
C. X46 + X56 = 1
D. X46 + X56 = 0
9Step by Step Solution
There are 3 Steps involved in it
Get step-by-step solutions from verified subject matter experts
