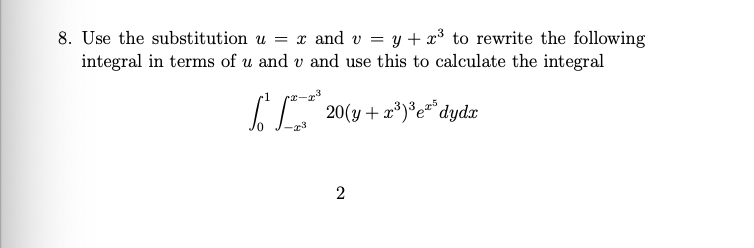
Question: 8. Use the substitution 1.; = I and 1: = y + 13 to rewrite the following integral in terms of n and 1: and


8. Use the substitution 1.; = I and 1: = y + 13 to rewrite the following integral in terms of n and 1: and use this to calculate the integral 1 mzs 33:5 dds: [Jigs 20{y+m)e y
Step by Step Solution
There are 3 Steps involved in it
Get step-by-step solutions from verified subject matter experts
