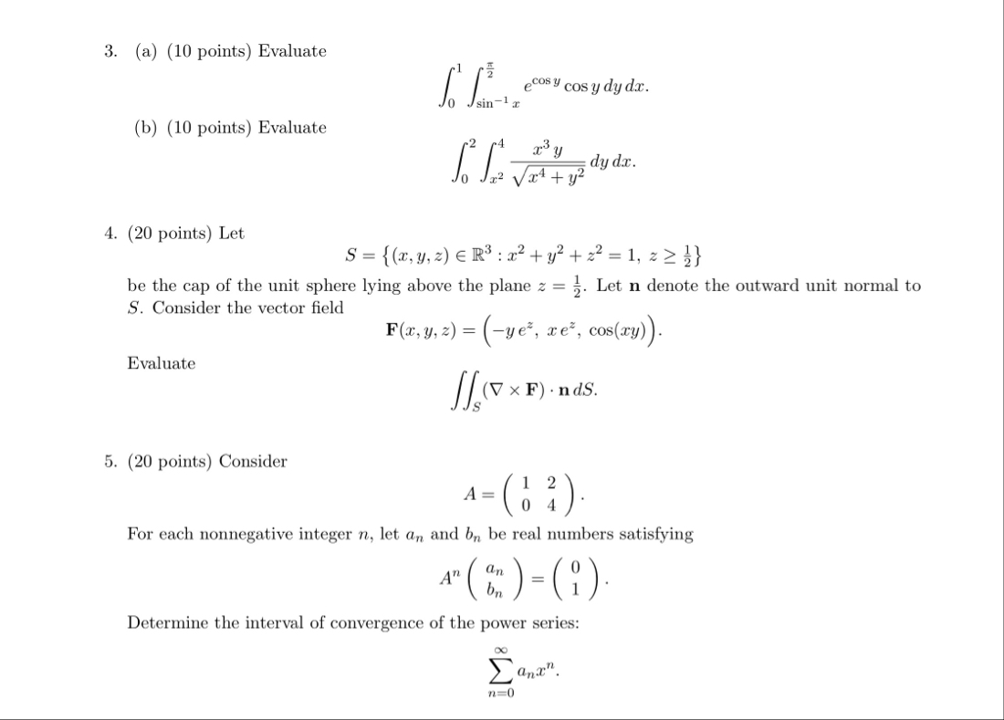
Question: ( a ) ( 1 0 points ) Evaluate 0 1 s i n - 1 x 2 e c o s y c o
a points Evaluate
b points Evaluate
points Let
:
be the cap of the unit sphere lying above the plane Let denote the outward unit normal to Consider the vector field
Evaluate
points Consider
For each nonnegative integer let and be real numbers satisfying
Determine the interval of convergence of the power series:
Let Prove that exists and finite.
a Evaluate
b Evaluate
Let : and be the outward unit normal vector to Evaluate
where
Let be the boundary of the area : and be the outward unit normal vector to Find the flux of the vector field
through
Step by Step Solution
There are 3 Steps involved in it
1 Expert Approved Answer
Step: 1 Unlock
Question Has Been Solved by an Expert!
Get step-by-step solutions from verified subject matter experts
Step: 2 Unlock
Step: 3 Unlock
