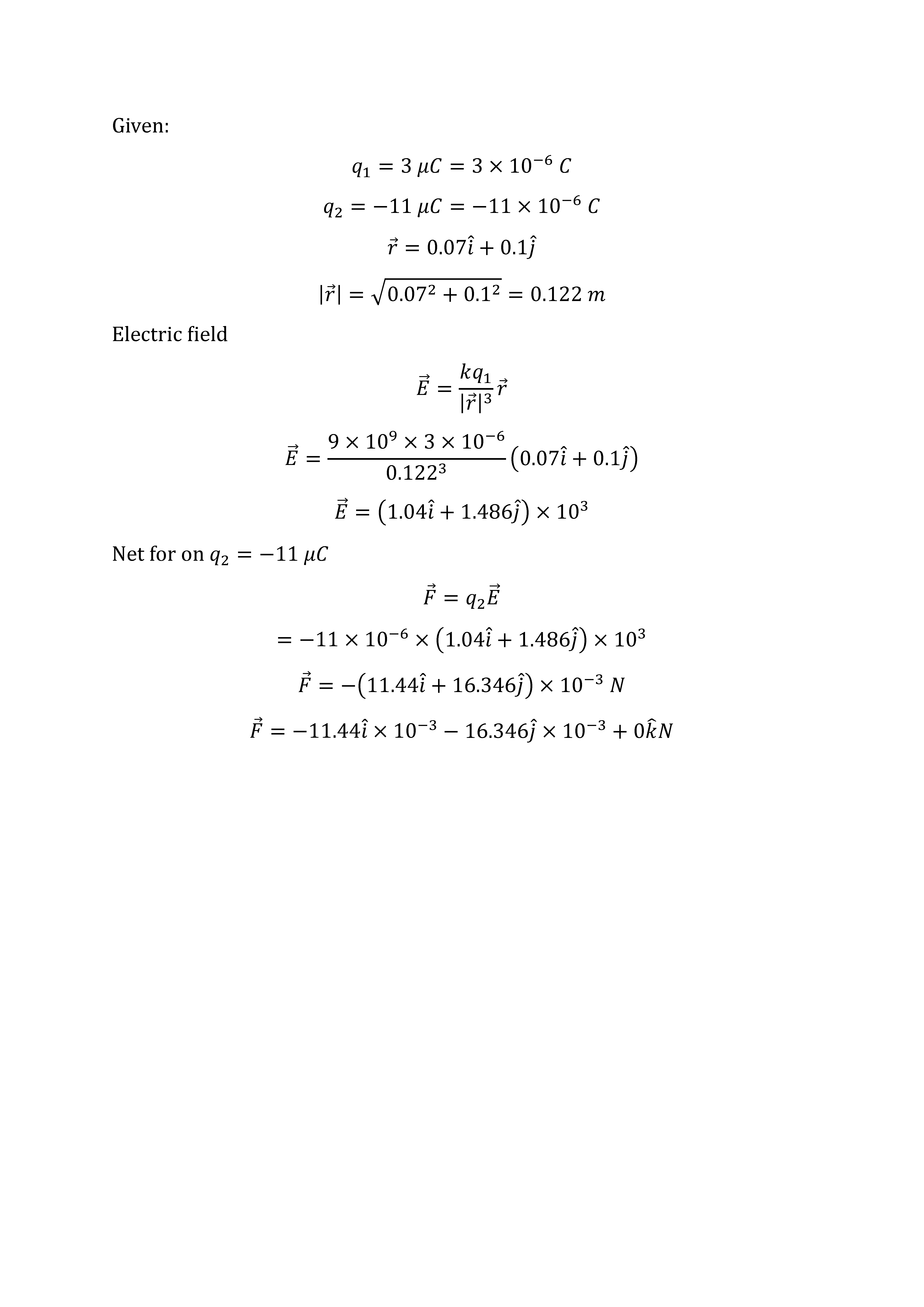
Question: A 3 |JC charge 9] located at the origin cm creates an electric field that fills all of space. A 1'| uC charge q; is
![A 3 |JC charge 9] located at the origin cm creates](https://s3.amazonaws.com/si.experts.images/answers/2024/06/66779fa81411a_68766779fa7ea98a.jpg)



A 3 |JC charge 9] located at the origin cm creates an electric field that fills all of space. A 1'| uC charge q; is brought to the point cm. Is the field due to the 3 HC charged affected by the -'|'| uC charge? 0 Yes V What is the vector electric field due to g] at the location of :12? Answer as a vector in Newtons per Coulomb. <_>% V V V 4.09- 106 6.8 - 106 0 What is the net force extered on 9;? Answer as a vector in Newtons. <_3:>N V V V 44.9 74.9 0 The 3 pt) charge is replaced by a 14 pt) charge. What is the new net force extered on 9;? Answer as a vector in Newtons. <_>N V V V 209.73 349.55 0 The 3 uC charge is returned but now the -11 uC charge is moved to cm. What is the new net force extered on :12? Answer as a vector in Newtons. <_>N X X V 1.143>
Step by Step Solution
There are 3 Steps involved in it
Get step-by-step solutions from verified subject matter experts
