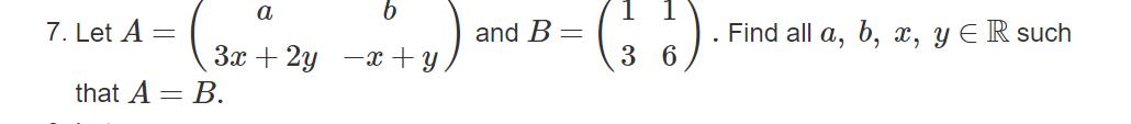
Question: a 7. Let A = and B = Find all a, b, x, y ER such + 2 +y, 3 6 that A =
a 7. Let A = and B = Find all a, b, x, y ER such + 2 +y, 3 6 that A = B. 9.
Step by Step Solution
3.33 Rating (153 Votes )
There are 3 Steps involved in it
Get step-by-step solutions from verified subject matter experts
