Question: A bivariate regression between y t and x t has the form y t = a + bx t + e t where e t
A bivariate regression between yt and xt has the form yt = a + bxt + et where et is the error. Recall that the hat in (for example) indicates an estimate.
Write down an expression for the estimated residual (the error) t,, theb write down expressions for the Total, Explained and Residual Sum of Squares (TSS, ESS, RSS).
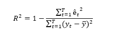
R2 may be defined as
Explain what this expression means, then show how R2 is related to TSS, ESS and RSS, and list and briefly explain three problems with R2 as a goodness of fit measure
2 R2 = 1 - =e, =- )^ Et=1
Step by Step Solution
There are 3 Steps involved in it
Get step-by-step solutions from verified subject matter experts
