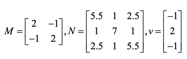
Question: a) Compute the eigenvalues and eigenvectors of M b) Verify that v is an eigenvector of N. Note that you do not have to solve
a) Compute the eigenvalues and eigenvectors of M
b) Verify that v is an eigenvector of N. Note that you do not have to solve for the eigenvectors and also that the result may be somewhat approximate. Remember, what does it mean for it to be an eigenvector?
c) For the eigenvector in b), what is the corresponding eigenvalue (note, you do not need to solve for it. Hint: what does it mean that v is an eigenvector? Also note that it will be approximate (there may be a difference in the second or third decimal place.)

\f
Step by Step Solution
There are 3 Steps involved in it
Get step-by-step solutions from verified subject matter experts
