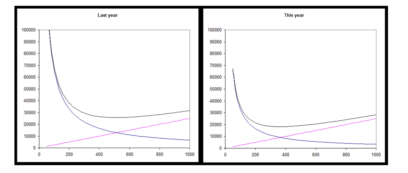
Question: a. Explain the reason decrease in the blue line. b. If average demand remained the same during that period, where did the change most likely

a. Explain the reason decrease in the blue line.
b. If average demand remained the same during that period, where did the change most likely occur at company XYZ?
c. Why is the intersection of blue and red lines considered as the optimal order point?
Last year This year 100000 100000 90000 90000 80000 80000 70000 70000 60000 60000 50000 50000 40000 40000 30000 30000 20000 20000 10000 10000 0 0 0 0 200 400 600 800 1000 200 400 600 800 1000Step by Step Solution
There are 3 Steps involved in it
Get step-by-step solutions from verified subject matter experts
