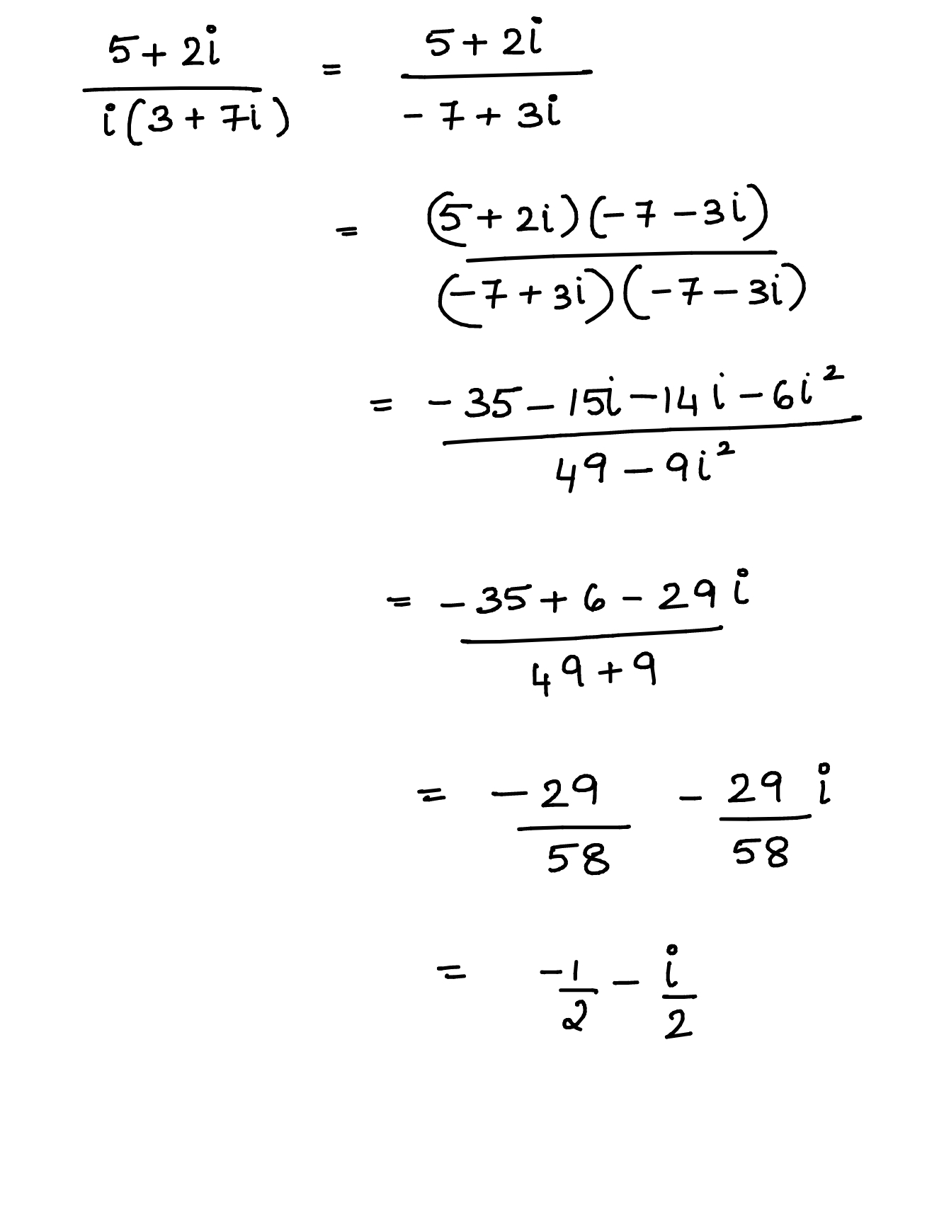
Question: a) Express the complex number (?3 +4 i ) 3 in the form a + bi . (b) Express the below complex number in the
|
5+ 21 5 + 21 S i (3 + 7i ) - 7+ 3i = 5+ 21) (-7-31 ( 7 + 31 ) (- 7-31 ) = - 35- 151-141-612 49 - 912 = - 35 + 6 - 290 49 + 9 = - 29 - 29 i 58 58 = N/ ro Rl Step by Step Solution
There are 3 Steps involved in it
Get step-by-step solutions from verified subject matter experts
