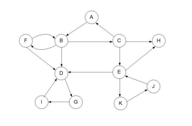
Question: A F B . D E J 1 G How many strongly-connected components are there in this Directed Graph? 1 2 3 4 5 5



A F B . D E J 1 G How many strongly-connected components are there in this Directed Graph? 1 2 3 4 5 5 6 7 8 9 10 What is the size (in number of vertices) of the largest strongly connected component of the Directed Graph? 1) 1 2) 2 3) 3 4) 4 5) 5 6) 6 07) 7 8) 8 9) 9 10) 10 11) 11 12) 12 013) 13
Step by Step Solution
There are 3 Steps involved in it
Get step-by-step solutions from verified subject matter experts
