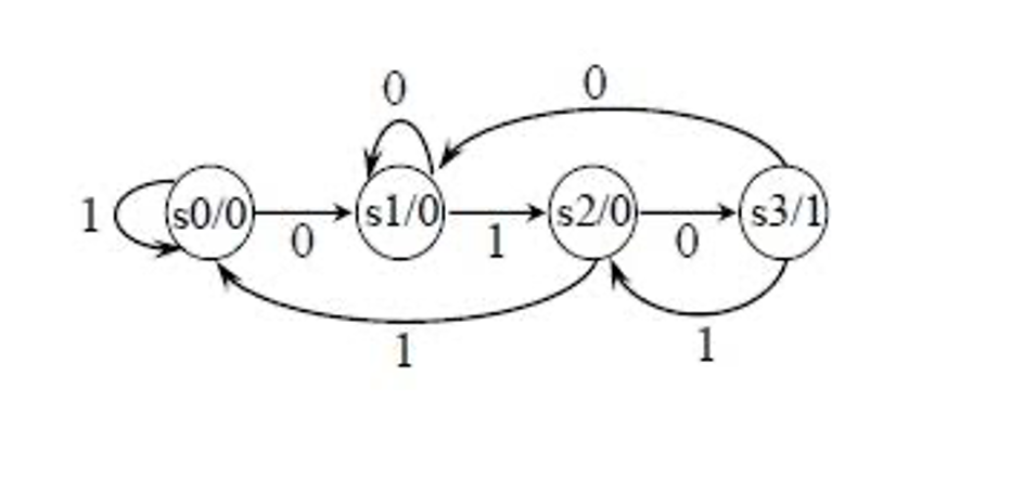
Question: (a) Generate transition table for the given machine. (b) Construct machine from the transition table below. 0 0 1 (s0/0) (s1/0) (s2/0) $3/1) 0 0
(a) Generate transition table for the given machine.

(b) Construct machine from the transition table below.

0 0 1 (s0/0) (s1/0) (s2/0) $3/1) 0 0 1 1 b a 41 41 42 qo 42 41 Output 1 1 0 42 42 43 41
Step by Step Solution
There are 3 Steps involved in it
Get step-by-step solutions from verified subject matter experts
