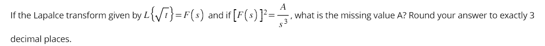
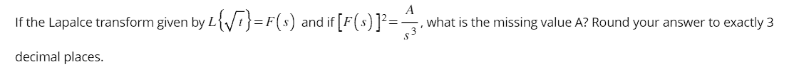
Question: A If the Lapalce transform given by _ { } =F(s) and if [F (s) ]2= -, what is the missing value A? Round

![=F(s) and if [F (s) ]2= -, what is the missing value](https://s3.amazonaws.com/si.experts.images/answers/2024/06/66797e14e7cf5_16466797e14d5634.jpg)
A If the Lapalce transform given by _\\ \\ { } =F(s) and if [F (s) ]2= -, what is the missing value A? Round your answer to exactly 3 decimal places
Step by Step Solution
There are 3 Steps involved in it
Get step-by-step solutions from verified subject matter experts
