Question: A laundry uses an elevator to move items from one level to another. The elevator has a mass of 650 kg and moves upward with




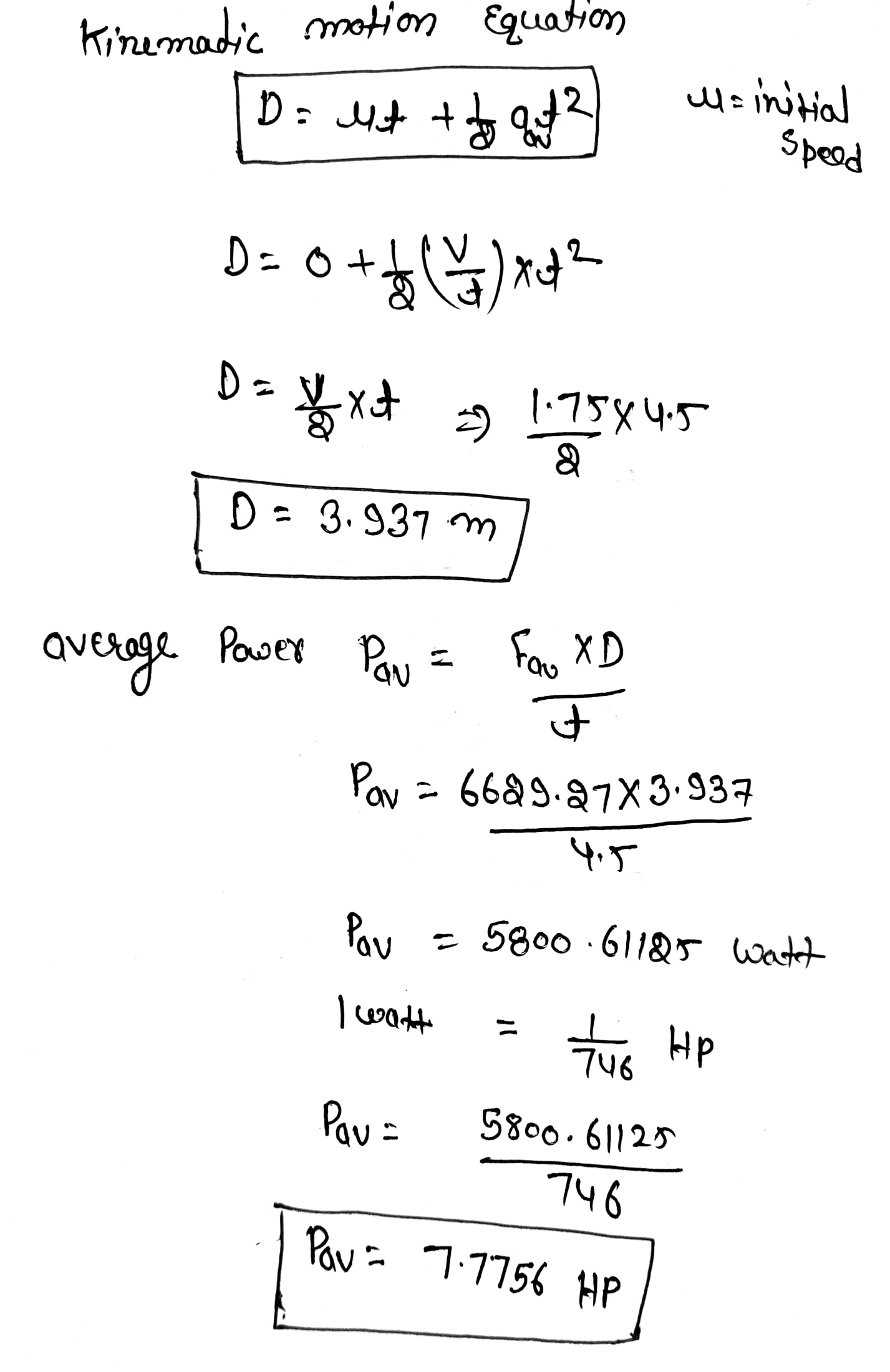
A laundry uses an elevator to move items from one level to another. The elevator has a mass of 650 kg and moves upward with constant acceleration for 4.50 s until it reaches its cruising speed of 1.75 m/s. (Note: 1 hp = 746 W.) (a) What is the average power (in hp) of the elevator motor during this time interval? Pave = hp (b) What is the motor power (in hp) when the elevator moves at its cruising speed? Pcruising hp (c) What If? If the elevator motor can only deliver constant power at one setting, the amount needed for its motion at constant speed, how long (in s) will it take the elevator to accelerate to the cruising speed of 1.75 m/s? (If you need to use co or -co, enter INFINITY or -INFINITY, respectively.) t =Given - mass of elevator m = 650 kq Time T= 4.50 S Speed V = 1-75 - Post ( 9) average Power work done time Pav = GV XD fav = average Force D = Distance dov : aurage .= final speed - initial speed acceleration time V - O 1.75 aav = 4.5 gov= 1.75 4:5 g = gravitational Fav = m ( J + * ) acceleration 9 - 9.81 2 2 Fav = 650 [9. 81 + 1.75 1 For = 6629. 27 N)Kinematic motion Equation wu = initial Speed D = O+ & ( 4 ) * + 2 D = Y x X = 1 75 x 4.5 D = 3. 937 m average Power Pay = For XD Pay = 6629 . 27 X 3.937 4.5 Pov = 5800. 61125 watt I watt = 746 HP Pav = 5800. 61125 746 Pav = 7.7756 HPPart ( b ) Power p- work done time P 2 FD we know thatA Speed Distance time V - So P = FV P : (mg ) v P= 650X9. 81 X1. 75 P = 11158. 875 watt P = 11158. 875 = 14.95 8 HP 746 P = 14.958. HP ( C ) ratio - Pav 7.7756 P = 0.519 14.958 The amount of initial Power is 5. 519 6 0.52 times power during upward trip with Constant speed
Step by Step Solution
There are 3 Steps involved in it
Get step-by-step solutions from verified subject matter experts
