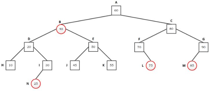
Question: A red - black tree ( RBT ) T is shown in the following figure, where the nil nodes are not shown. We want to
A redblack tree RBT T is shown in the following figure, where the nil nodes are not shown.
We want to delete the node with key from the tree. Necessary deletion fixup operations are carried out so that the resulting tree is still a redblack tree.
What is the right child of K
What is the left child of K
What is the color of K
What is the right child of B
What is the left child of B
What is the color of B
What is the right child of J
What is the left child of J
What is the color of J
What is the right child of D
Step by Step Solution
There are 3 Steps involved in it
1 Expert Approved Answer
Step: 1 Unlock
Question Has Been Solved by an Expert!
Get step-by-step solutions from verified subject matter experts
Step: 2 Unlock
Step: 3 Unlock
