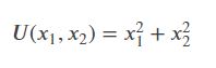
Question: A student proposed the following utility function: *ATTACHED AS AN IMAGE TO THE QUESTION* Part a) Graphically show that this proposed utility function violates average

 A student proposed the following utility function: *ATTACHED AS AN IMAGE

A student proposed the following utility function:

*ATTACHED AS AN IMAGE TO THE QUESTION*

Part a) Graphically show that this proposed utility function violates average is better than extreme.

Part b) Graphically show that for this utility function, the tangency condition does not lead to optimum given prices (p1,p2) = (2,1) and m =3

TO THE QUESTION* Part a) Graphically show that this proposed utility function

Step by Step Solution

There are 3 Steps involved in it

1 Expert Approved Answer
Step: 1 Unlock blur-text-image
Question Has Been Solved by an Expert!

Get step-by-step solutions from verified subject matter experts

Step: 2 Unlock
Step: 3 Unlock

Students Have Also Explored These Related Economics Questions!