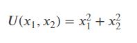
Question: A student proposed the following utility function: *ATTACHED AS AN IMAGE TO THE QUESTION* Part a) Graphically show that this proposed utility function violates average
A student proposed the following utility function:
*ATTACHED AS AN IMAGE TO THE QUESTION*
Part a) Graphically show that this proposed utility function violates average is better than extreme.
Part b) Graphically show that for this utility function, the tangency condition does not lead to optimum given prices (p1,p2) = (2,1) and m =3

Step by Step Solution
There are 3 Steps involved in it
Get step-by-step solutions from verified subject matter experts
