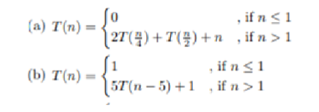
Question: ( a ) T ( n ) = { 0 , i f n 1 2 T ( n 4 ) + T ( n
a
b
Solve recurrence relation. We are solving for runtime. Use expansion and subtitution methods, create recursive trees for substitution.
Step by Step Solution
There are 3 Steps involved in it
1 Expert Approved Answer
Step: 1 Unlock
Question Has Been Solved by an Expert!
Get step-by-step solutions from verified subject matter experts
Step: 2 Unlock
Step: 3 Unlock
