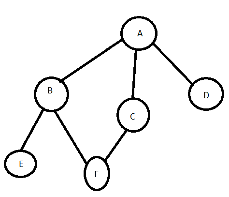
Question: a. Write the main method to read a graph and out put the DFS if the starting vertex is A. b. Show using color method
a. Write the main method to read a graph and out put the DFS if the starting vertex is A.
b. Show using color method the tracing for the DFS output.
import java.util.*;
public class DFS
{
private int Vertices;
private LinkedList adjacency[];
DFS(int vertex)
{
Vertices = vertex;
adjacency = new LinkedList[257];
for (int i=0; i
adjacency[i] = new LinkedList();
}
void ConnectVertex(char u,char v)
{
adjacency[u].add(v);
}
void DepthFirstSearchUtil(char v,boolean traversed[])
{
traversed[v] = true;
System.out.print(v+" ");
Iterator i = adjacency[v].listIterator();
while (i.hasNext())
{
char n = i.next();
if (!traversed[n])
DepthFirstSearchUtil(n, traversed);
}
}
void DepthFirstSearch(char v)
{
boolean traversed[] = new boolean[257];
DepthFirstSearchUtil(v, traversed);
}
public static void main(String args[])
{
// write your code here
}
}
A B D E F
Step by Step Solution
There are 3 Steps involved in it
Get step-by-step solutions from verified subject matter experts
