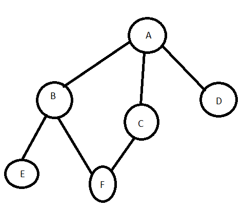
Question: a. Write the main method to read a graph and out put the BFS if the starting vertex is A. b. Show using color method

a. Write the main method to read a graph and out put the BFS if the starting vertex is A.
b. Show using color method the tracing for the BFS output.
import java.util.*;
public class BFS
{
private int Vertices;
private LinkedList
BFS(int vertex)
{
Vertices = vertex;
adjacency = new LinkedList[257];
for (int i=0; i
adjacency[i] = new LinkedList();
}
void ConnectVertex(char u,char v)
{
adjacency[u].add(v);
}
void BreadthFirstSearch(Character s)
{
boolean traversed[] = new boolean[257];
LinkedList
traversed[s]=true;
q.add(s);
while (q.size() != 0)
{
s = q.poll();
System.out.print(s+" ");
Iterator
while (i.hasNext())
{
char n = i.next();
if (!traversed[n])
{
traversed[n] = true;
q.add(n);
}
}
}
}
public static void main(String args[])
{
// write your code here
}
}
A B D E F
Step by Step Solution
There are 3 Steps involved in it
Get step-by-step solutions from verified subject matter experts
