Question: Aaccording to the table help me answer the following Make use of the information on the four-sector Keynesian expenditure model given in the diagram and
Aaccording to the table help me answer the following

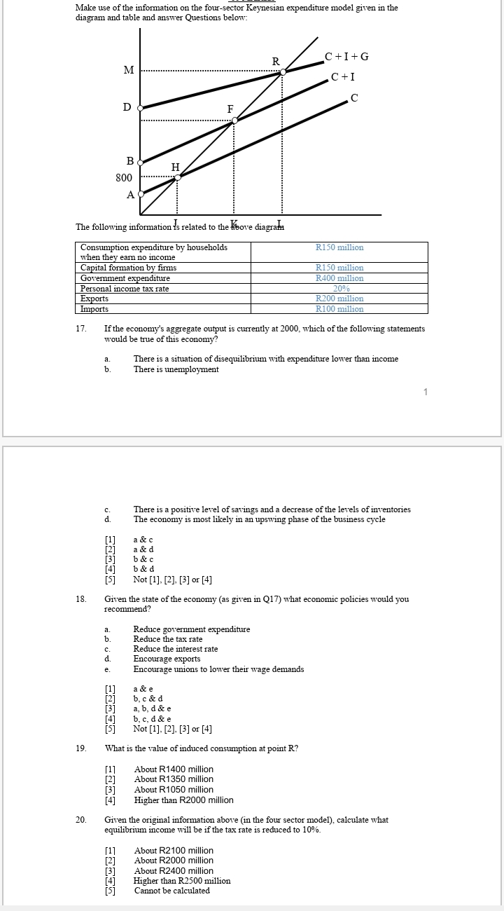
Make use of the information on the four-sector Keynesian expenditure model given in the diagram and table and answer Questions below: R C + I+G M C+I C D B H 800 A The following information is related to the above diagrata Consumption expenditure by households R150 million when they earn no income Capital formation by firms R150 million Government expenditure R400 million Personal income tax rate 20% Exports R200 million Imports R100 million 17. If the economy's aggregate output is currently at 2000, which of the following statements would be true of this economy? a There is a situation of disequilibrium with expenditure lower than income There is unemployment There is a positive level of savings and a decrease of the levels of inventories The economy is most likely in an upswing phase of the business cycle a &c a &d b &c b &d Not [1], [2], [3] or [4] 18 Given the state of the economy (as given in Q17) what economic policies would you recommend? Reduce government expenditure Reduce the tax rate Reduce the interest rate Encourage exports e . Encourage unions to lower their wage demands a&e b, c & d a, b, d & e b, c, d & e Not [1], [2], [3] or [4] 19. What is the value of induced consumption at point R? ECEE About R1400 million About R1350 million About R1050 million Higher than R2000 million 20. Given the original information above (in the four sector model), calculate what equilibrium income will be if the tax rate is reduced to 10%. About R2100 million About R2000 million About R2400 million Higher than R2500 million Cannot be calculated
Step by Step Solution
There are 3 Steps involved in it
Get step-by-step solutions from verified subject matter experts
