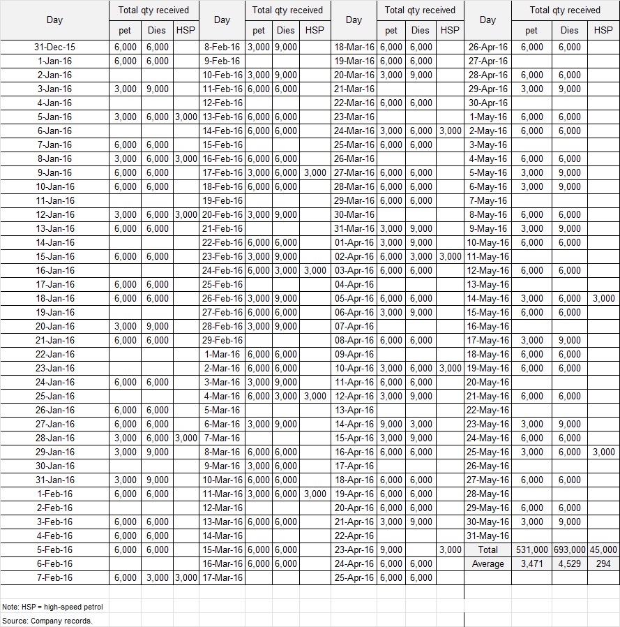
Question: Above given is the data, run time series method on above data for the calculation of all three products i.e. Pet, DIE, HSP. Note: HSP=



Above given is the data, run time series method on above data for the calculation of all three products i.e. Pet, DIE, HSP.
Note: HSP= high-speed petrol Source: Company records. Note: HSP= high-speed petrol Source: Company records
Step by Step Solution
There are 3 Steps involved in it
Get step-by-step solutions from verified subject matter experts
