Question: First picture is about Actual Orders Received second is for Monthly Sales Data and last one is about Daily Demand Data. Run time series method


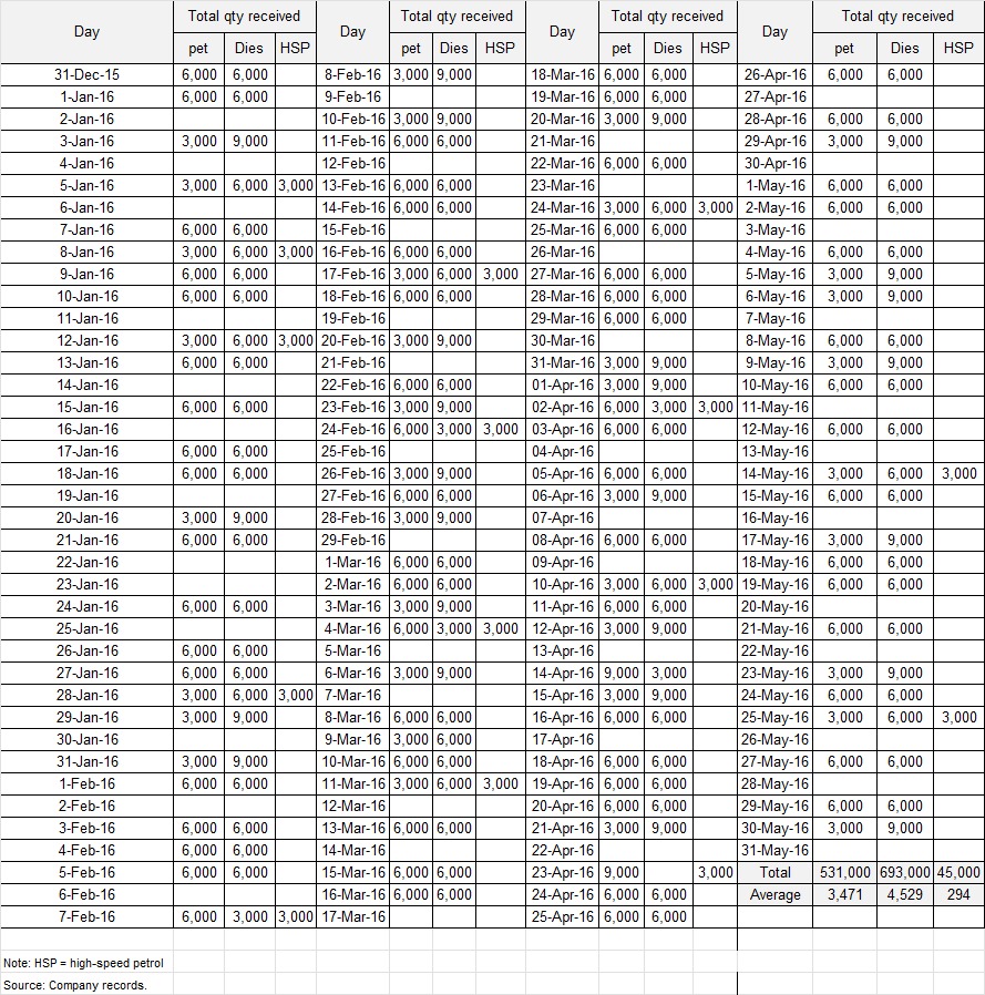
First picture is about "Actual Orders Received" second is for Monthly Sales Data and last one is about Daily Demand Data. Run time series method on above data for the calculation of all three products i.e. Pet, DIE, HSP.
Note: HSP= high-speed petrol Source: Company records
Step by Step Solution
There are 3 Steps involved in it
1 Expert Approved Answer
Step: 1 Unlock
Question Has Been Solved by an Expert!
Get step-by-step solutions from verified subject matter experts
Step: 2 Unlock
Step: 3 Unlock
