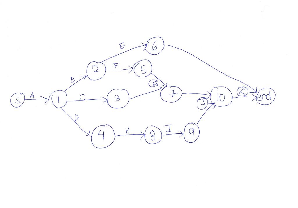
Question: Activity Predecessor Duration A 9 B A 2 C A 12 D A 5 E B 6 F B 8 G C, F 3 H
| Activity | Predecessor | Duration |
| A | 9 | |
| B | A | 2 |
| C | A | 12 |
| D | A | 5 |
| E | B | 6 |
| F | B | 8 |
| G | C, F | 3 |
| H | D | 2 |
| I | H | 8 |
| J | G, I | 6 |
| K | E, J | 2 |

Fix the project using dummy activities.
B 4 H 5 9 Q 10 end)Step by Step Solution
There are 3 Steps involved in it
1 Expert Approved Answer
Step: 1 Unlock
Question Has Been Solved by an Expert!
Get step-by-step solutions from verified subject matter experts
Step: 2 Unlock
Step: 3 Unlock
