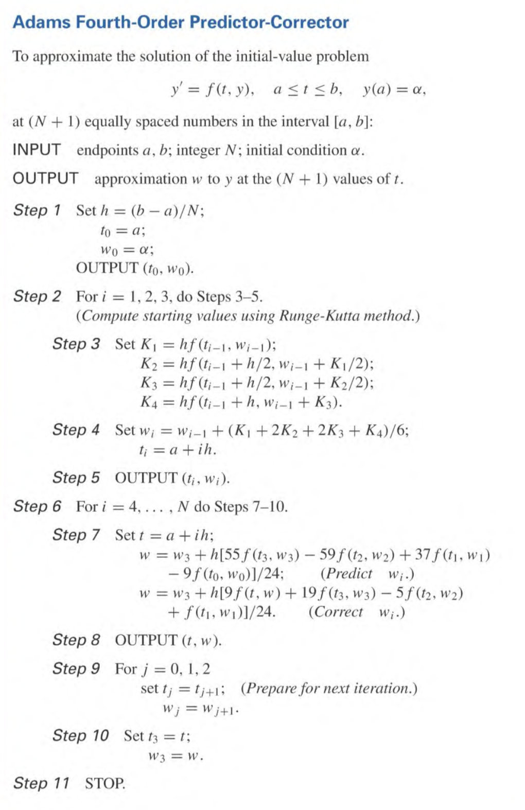
Question: Adams Fourth-Order Predictor-Corrector Python ONLY!! Please translate this pseudocode into Python code, thanks!! Adams Fourth-Order Predictor-Corrector To approximate the solution of the initial-value problem y'
Adams Fourth-Order Predictor-Corrector Python ONLY!!
Please translate this pseudocode into Python code, thanks!!
Adams Fourth-Order Predictor-Corrector To approximate the solution of the initial-value problem y' = f(t, y), ast
Step by Step Solution
There are 3 Steps involved in it
Get step-by-step solutions from verified subject matter experts
