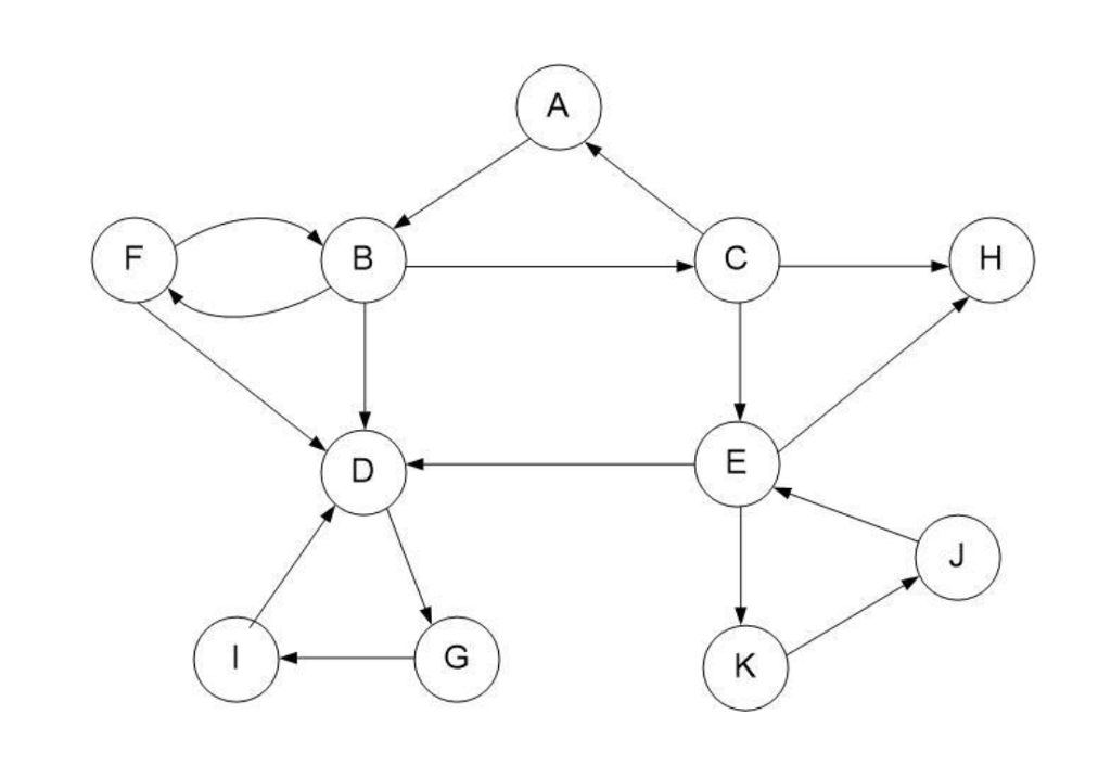
Question: Algorithm bfs (G, s) mark s as discovered enqueue s while the queue is not empty dequeue v for each vertex w adjacent to v
Algorithm
bfs (G, s) mark s as discovered enqueue s while the queue is not empty dequeue v for each vertex w adjacent to v if w is undiscovered mark w as discovered dequeue w mark w as finished
Determine the strongly connected components of the graph using the above algorithm. Show the final depth-first search of the transpose graph labeled with its start and finish times. Identify the strongly connected components based on that search.

Step by Step Solution
There are 3 Steps involved in it
Get step-by-step solutions from verified subject matter experts
