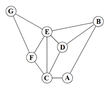
Question: Algorithm Design and Analysis 1. From this following graph, use Welsh & Powell algorithm to colour the given Graph and determine its chromatic number!
Algorithm Design and Analysis
1. From this following graph,

use Welsh & Powell algorithm to colour the given Graph and determine its chromatic number!
Step by Step Solution
There are 3 Steps involved in it
Get step-by-step solutions from verified subject matter experts
