Question: Although this assignment doesnt technically require any development in terms of Java programming or programming in any other language, it is development in terms of
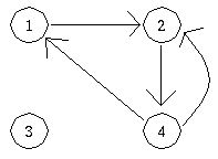
Although this assignment doesnt technically require any development in terms of Java programming or programming in any other language, it is development in terms of developing a solution and a data structure. Consider the following picture representation of a graph:

This graph can be implemented using the following data structure. V = {1, 2, 3, 4} E = { (1, 2), (2, 4), (4, 2) (4, 1)}
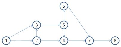
Create a data structure to represent the graph detailed in the following picture:

As part of your assignment you must also determine (and include as part of the discussion in your assignment) if the graph is:
Acyclic or not
Directed or undirected
Connected or not
Simple or not
Please explain all of your answers.
4 2 3
Step by Step Solution
There are 3 Steps involved in it
Get step-by-step solutions from verified subject matter experts
