Question: Am confused here pliz.. Question 3 In this question you will argue that the set of competitive equilibrium prices of a com- petitive economy has





Am confused here pliz..
![ES | p, > : and p> > &]. Fix an arbitrary](https://s3.amazonaws.com/si.experts.images/answers/2024/06/666ab8eca0844_188666ab8ec8d698.jpg)




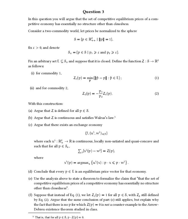
Question 3 In this question you will argue that the set of competitive equilibrium prices of a com- petitive economy has essentially no structure other than closedness. Consider a two-commodity world, let prices be normalized to the sphere S = (pc R4+ [ Ilpll = 1). fix & > 0, and denote So = (p ES | p, > : and p> > &]. Fix an arbitrary set E C S, and suppose that it is closed. Define the function Z : S - R? as follows: (i) for commodity 1, Zi(p) = min (llp - pll : p e E); (1) (i) and for commodity 2, Zz(p) = -'Zi(p). (2) P2 With this construction: (a) Argue that Z is defined for all p e S. (b) Argue that Z is continuous and satisfies Walras's law. (c) Argue that there exists an exchange economy (, (u', when) where each u' : R4 - R is continuous, locally non-satiated and quasi-concave and such that for all p E Sz [ (x'(p) - wi] = Z(p). where x' (p) = argmax, {u'(x) :p - x
2 0, a solution to the UMAX[p, w] problem exists and is unique. Without attempting at this point to explicitly solve the UMAX[p, w], show that for w above a certain level, that you should made explicit, demand is insensitive to increases in wealth, whereas for values of w below this level Walrasian demand is affine in wealth. (Hint: For the second part, use the Implicit Function Theorem.) 1.7. We now consider a society with / consumers, each endowed with the preference relation represented by u in (1.1). We denote by P= R#'the domain of prices and individual wealth vectors (p:w'....w). Is there a subset of P for which a positive representative consumer exists? Explain. 1.8. We return to the one-consumer case. Solve the UMAX[p, w] problem for good I in the case where I - 2, a, =a, =a and B= b * , for c>0. Can one of the goods be inferior at a point of the domain of the Walrasian demand function? (Hint. Consider the wealth expansion paths in (x1, *2) space.) 1.9. We now consider a consumer who faces uncertainty. Her ex ante preference relation satisfies the expected utility hypothesis with von Neumann-Morgenstern-Bernoulli utility function ":[0.a/b]- R. where a and b are positive parameters, and with coefficient of absolute risk aversion equal to- a - bx -. She is facing the contingent-consumption optimization problem of maximizing her expected utility subject to a budget constraint. Let there be two states of the world, s, and $2, with probabilities a and 1- n, respectively 1.9.1. Comment on her ex ante preferences. 1.9.2. To what extent is her problem formally a special case of the UMAX problem of 1.6 above? Explain. 1.9.3. Draw a plausible wealth expansion path in contingent commodity space. As her wealth increases, does the consumer bear absolutely more or less risk? Relatively more or less risk?QUESTION 1 Your entire wealth consists of the balance of your bank account, which is $ W. . You also own a painting which is worthless to you. You have a chance to sell the painting to a potential buyer. All you know about the buyer is that she has a reservation price (i.e. a maximum price she is willing to pay) re(L, M, H) with L
Step by Step Solution
There are 3 Steps involved in it
Get step-by-step solutions from verified subject matter experts
