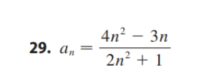
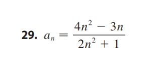
Question: An 3n 29. an 2n-+ 1 29. a 2 3n 2112 + 1


An 3n 29. an 2n-+ 1
29. a 2 3n 2112 + 1
Step by Step Solution
There are 3 Steps involved in it
1 Expert Approved Answer
Step: 1 Unlock
Question Has Been Solved by an Expert!
Get step-by-step solutions from verified subject matter experts
Step: 2 Unlock
Step: 3 Unlock
