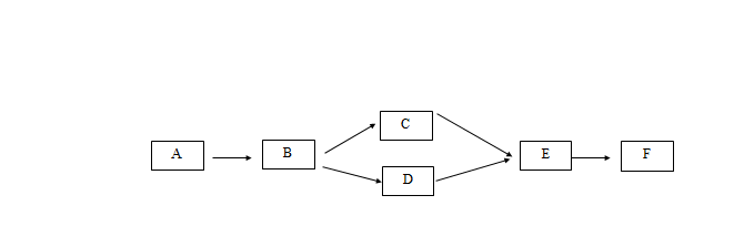
Question: An assembly line continuously produces the same product. It is composed of six activities in the following sequence and their activity times are A (7
An assembly line continuously produces the same product. It is composed of six activities in the following sequence and their activity times are A (7 minutes), B (6 minutes), C (4 minutes), D (5 minutes), E (4 minutes), and F (6 minutes) respectively. (12 pts) a). If these 6 activities are assigned to 6 different work stations, what is the cycle time of the system (time between two finished products)? If they are all assigned to only 1 work station, What is the cycle time? b). If customers order 60 units of finished product on a daily basis (8-hour), what is the takt time of the system? c). What is the minimum number of work stations the system needs to meet customer demand in b)? d). Please assign these 6 activities into the minimum number of work stations to balance the assembly line while meeting the customer demand in b). List which tasks are assigned to which workstations (WS1, WS2... etc) and the sequence. e). Please calculate the efficiency of the assembly line.
Step by Step Solution
There are 3 Steps involved in it
Get step-by-step solutions from verified subject matter experts
