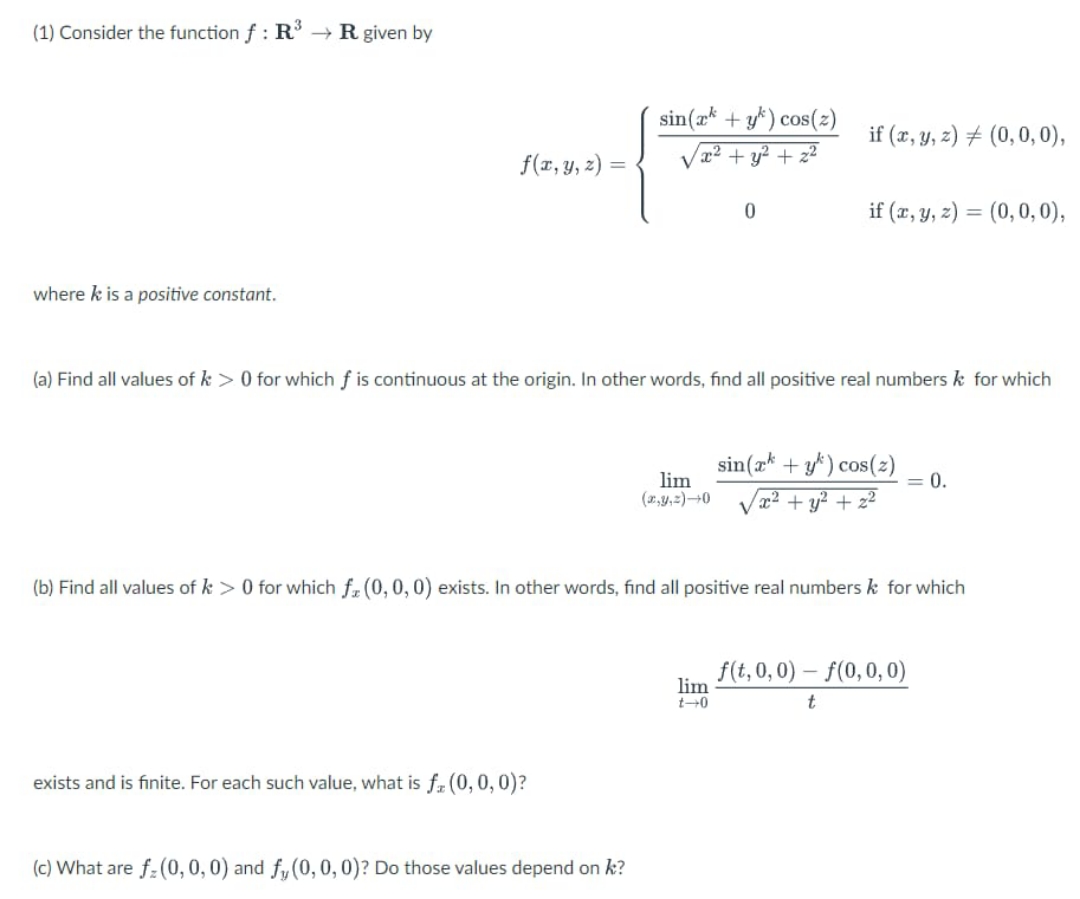
Question: answer in detail (1) Consider the function f : R3 ) R given by sin(:c + y) cos(z) 1131933): 'x2+y2+zz U (119:2) THIN-310): if (x!
answer in detail

(1) Consider the function f : R3 ) R given by sin(:c" + y") cos(z) 1131933): 'x2+y2+zz U \"(119:2) \"THIN-310): if (x! y! '3) 5e (09 0i a)! where k is a positive constant. (3} Find all values of k > 0 for which f is continuous at the origin. In other words. find all positive real numbers I: for which 11m sinks" +y")cos(z) = {mm*0 1/32 + y! + z2 D. (b) Find all values of i: > 0 for which f, (O. 0, 0) exists. In other words. nd all positive real numbers k for which lim fltsoao) _' f(0,0,0) t-+0 '3 exists and is nite. For each such value. what is f, (01 U, U)? (c) What are 3', (0, 0, 0] and full, 0, 0)? 00 those values depend on k
Step by Step Solution
There are 3 Steps involved in it
Get step-by-step solutions from verified subject matter experts
