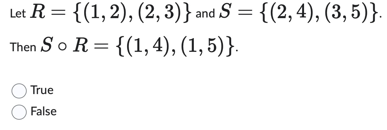
Question: answer Let R = {(1, 2), (2, 3) } and S = { (2, 4), (3, 5) }. Then S o R = {(1, 4),
answer

Step by Step Solution
There are 3 Steps involved in it
1 Expert Approved Answer
Step: 1 Unlock
Question Has Been Solved by an Expert!
Get step-by-step solutions from verified subject matter experts
Step: 2 Unlock
Step: 3 Unlock
