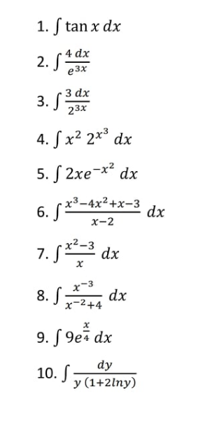
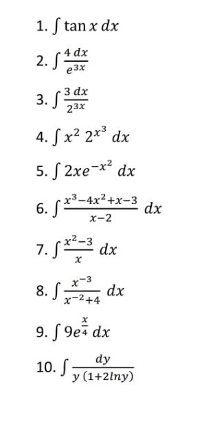
Question: answer the ff. I. f tan x dx 2 r 4dx J e3X 4. J x2 2x3 dx 5. f 2xex2 dx x34x2+x3 dx x-2

answer the ff.

I. f tan x dx 2 r 4dx J e3X 4. J x2 2x3 dx 5. f 2xex2 dx x34x2+x3 dx x-2 x dx x2+4 9. f 9e dx dy 10. f y (1+21ny)
Step by Step Solution
There are 3 Steps involved in it
Get step-by-step solutions from verified subject matter experts
