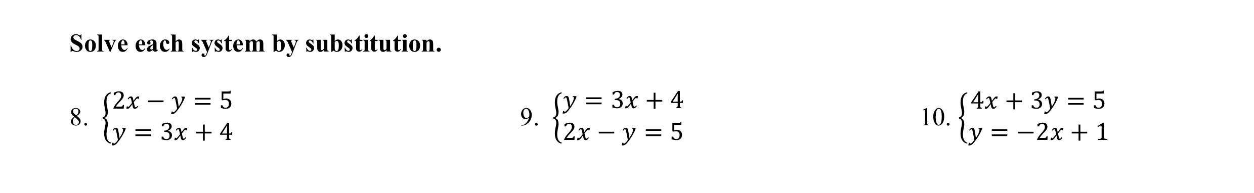
Question: Answer the questions Solve each system by substitution. 8. (2x - y = 5 9. Jy = 3x + 4 10. (4x + 3y =
Answer the questions

Step by Step Solution
There are 3 Steps involved in it
1 Expert Approved Answer
Step: 1 Unlock
Question Has Been Solved by an Expert!
Get step-by-step solutions from verified subject matter experts
Step: 2 Unlock
Step: 3 Unlock
