Question: Answer what is required Provide clean and clear Solutions Find the missing solution. Choose the letter of the correct answer. A. Evaluate J(x2 + 5
Answer what is required Provide clean and clear Solutions

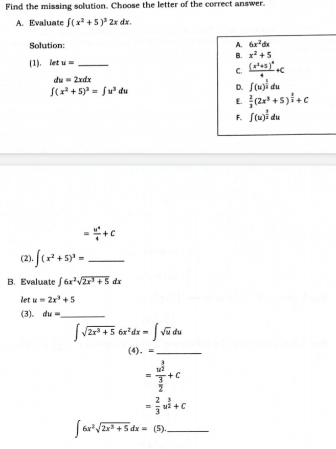
Find the missing solution. Choose the letter of the correct answer. A. Evaluate J(x2 + 5 )3 2x dx. Solution: A. 6x2 dx (1). let u = B. x2+ 5 C. ( x2+5) +C du = 2xdx S(x2 + 5)3 = ju3 du D. S(u)i du E. (2x3 + 5) 1+C F. S(u)i du = "+C (2). (x2+5)3 = B. Evaluate S 6x2V2x3 + 5 dx let u = 2x3 + 5 (3). du = V2x3 + 5 6x'dx = Vudu (4). = -+ C WIN NW SIw 3 uz + C 6.x2 2x3 + 5 dx =
Step by Step Solution
There are 3 Steps involved in it
Get step-by-step solutions from verified subject matter experts
