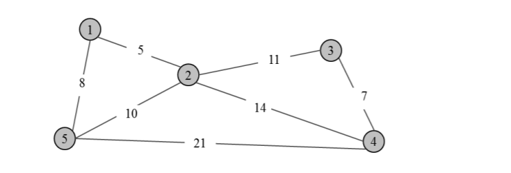
Question: Apply Kruskals MST algorithm on the graph shown below using disjoint sets data structure represented as a forest. Show the disjoint sets represented as a
Apply Kruskals MST algorithm on the graph shown below using disjoint sets data structure represented as a forest. Show the disjoint sets represented as a forest data structure after the initialization of singleton sets (represented as single-node trees) and after considering each edge. If the disjoint sets do not change in any step, do not need to show the forest structure. Use the union-by-size heuristic when doing union of two sets.

2 8 14 10 21
Step by Step Solution
There are 3 Steps involved in it
Get step-by-step solutions from verified subject matter experts
