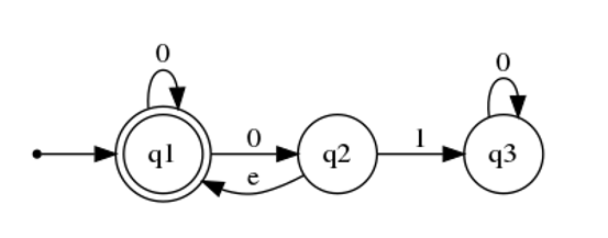
Question: Apply the technique as shown in Chapter 1, section 3 (Sipser) to convert the NFA Nd to an equivalent regular expression Rd. Your answer should
Apply the technique as shown in Chapter 1, section 3 (Sipser) to convert the NFA Nd to an equivalent regular expression Rd. Your answer should provide, all the intermediate steps as in the example 1.68 from our text.

0 3 2 0 9
Step by Step Solution
There are 3 Steps involved in it
Get step-by-step solutions from verified subject matter experts
