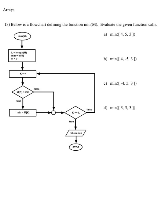
Question: Arrays 13) Below is a flowchart defining the function min(M). Evaluate the given function calls. a) min([ 4, 5, 3D min(M) L = length(M) min

Arrays 13) Below is a flowchart defining the function min(M). Evaluate the given function calls. a) min([ 4, 5, 3D min(M) L = length(M) min - M[0] K=0 b) min([ 4.-5, 3D c) min([ -4,5, 3D false M[K]
Step by Step Solution
There are 3 Steps involved in it
Get step-by-step solutions from verified subject matter experts
