Question: ASSIGNMENT CASE STUDY Instructions: This assignment requires that you demonstrate a sound understanding of the concepts and principles included in this class. Read the case
ASSIGNMENT CASE STUDY
Instructions: This assignment requires that you demonstrate a sound understanding of the
concepts and principles included in this class. Read the case presented below and complete the
assignment presented at the end. Proofread your work before submitting. You can submit
multiple times. I will grade your last submission considering the quality and sufficiency of
answers given, your demonstration of understanding of the concepts included, and the extent to
which you satisfy the questions asked. In addition to the written report, you will need to submit a
video explaining your solution. This video must be less than minutes long. The written report is
worth points. The video is worth points. Total value: points.
MOTORS AND MORE INC.
You are hired as the HR director for the fictitious Motors and More, Inc. This businessto
business sales company manufactures small motors and accessories for industrial and home
products. The industry is highly competitive and the company follows a prospector strategy.
A prospector strategy takes advantage of new markets and products. Organizational emphasis is
on growth, innovation, and new product development. A prospector wants to be first to the
market. To respond to competitive and rapidly changing markets, prospectors have flexible, flat,
and decentralized organizational structures.
Motors and More is headquartered in a small southern town of people, with a low
unemployment rate of This means that demand for workers exceeds labor supply. There is
a technical school and a community college within miles of Motors and More. Motors and
More's president is a former military and is highly patriotic. He is committed to staying in the
community. Recently, other local companies have experienced labor organizing activities.
Motors and More employs people. Until you were hired, there was no HR department.
Recently, the organization's employee turnover rate has been higher than normal. The marketing
and sales department continues to sell products to an expanding market. Because of this
increased product demand, output must be increased by percent.
In Motors and More, of the employees are Caucasian. Except for one female supervisor in
the customer service department, the president and all other managers are Caucasian men.
Promotions have been based on seniority Local labor market is approximately minority,
with a growing Hispanic and Kurdish population not fully accepted into the community.
All the employees in manufacturing including quality control customer service and operations
responsible for shipping and receiving; distribution of raw materials, components parts and
finished goods inventory; and maintenance and cleaning have at least a high school degree or
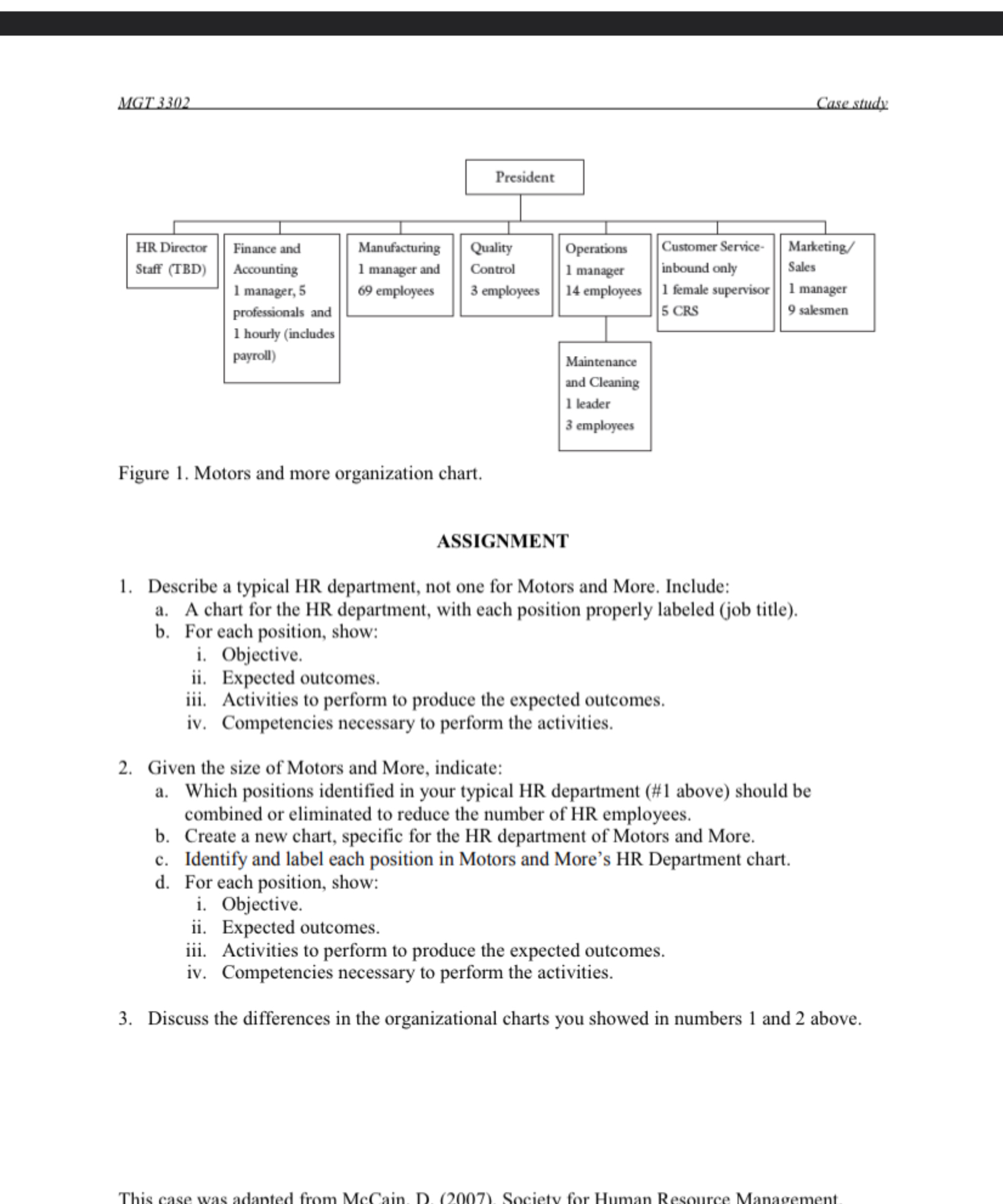
GED. The organization provides some skills training courses. Please refer to the organizational
chart in Figure for more details.
Describe a typical HR department, not one for Motors and More. Include:
a A chart for the HR department, with each position properly labeled job title
b For each position, show:
i Objective.
ii Expected outcomes.
iii. Activities to perform to produce the expected outcomes.
iv Competencies necessary to perform the activities.
Given the size of Motors and More, indicate:
a Which positions identified in your typical HR department # above should be
combined or eliminated to reduce the number of HR employees.
b Create a new chart, specific for the HR department of Motors and More.
c Identify and label each position in Motors and More's HR Department chart.
d For each position, show:
i Objective.
ii Expected outcomes.
iii. Activities to perform to produce the expected outcomes.
iv Competencies necessary to perform the activities.
Discuss the differences in the organizational charts you showed in numbers and above.
Step by Step Solution
There are 3 Steps involved in it
1 Expert Approved Answer
Step: 1 Unlock
Question Has Been Solved by an Expert!
Get step-by-step solutions from verified subject matter experts
Step: 2 Unlock
Step: 3 Unlock
