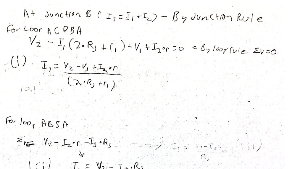
Question: At Junction B ( Is = I , + I2 ) - By Junction Rule For LOOP A CDBA V 2 - I ( 2

At Junction B ( Is = I , + I2 ) - By Junction Rule For LOOP A CDBA V 2 - I ( 2 . R, t r , ) - V, + Izor = 0 = By loop rule EV= 0 (i ) I, = V2 - VitIgor (2 ' R) + r, ) 10.1 For loop ABSA Eve 12- Iz'r - Is . Rs
Step by Step Solution
There are 3 Steps involved in it
Get step-by-step solutions from verified subject matter experts
