Question: Problem 2 In the picture, you can see a square loop of side -.... 7.5cm that is floating immobile in the air because of the




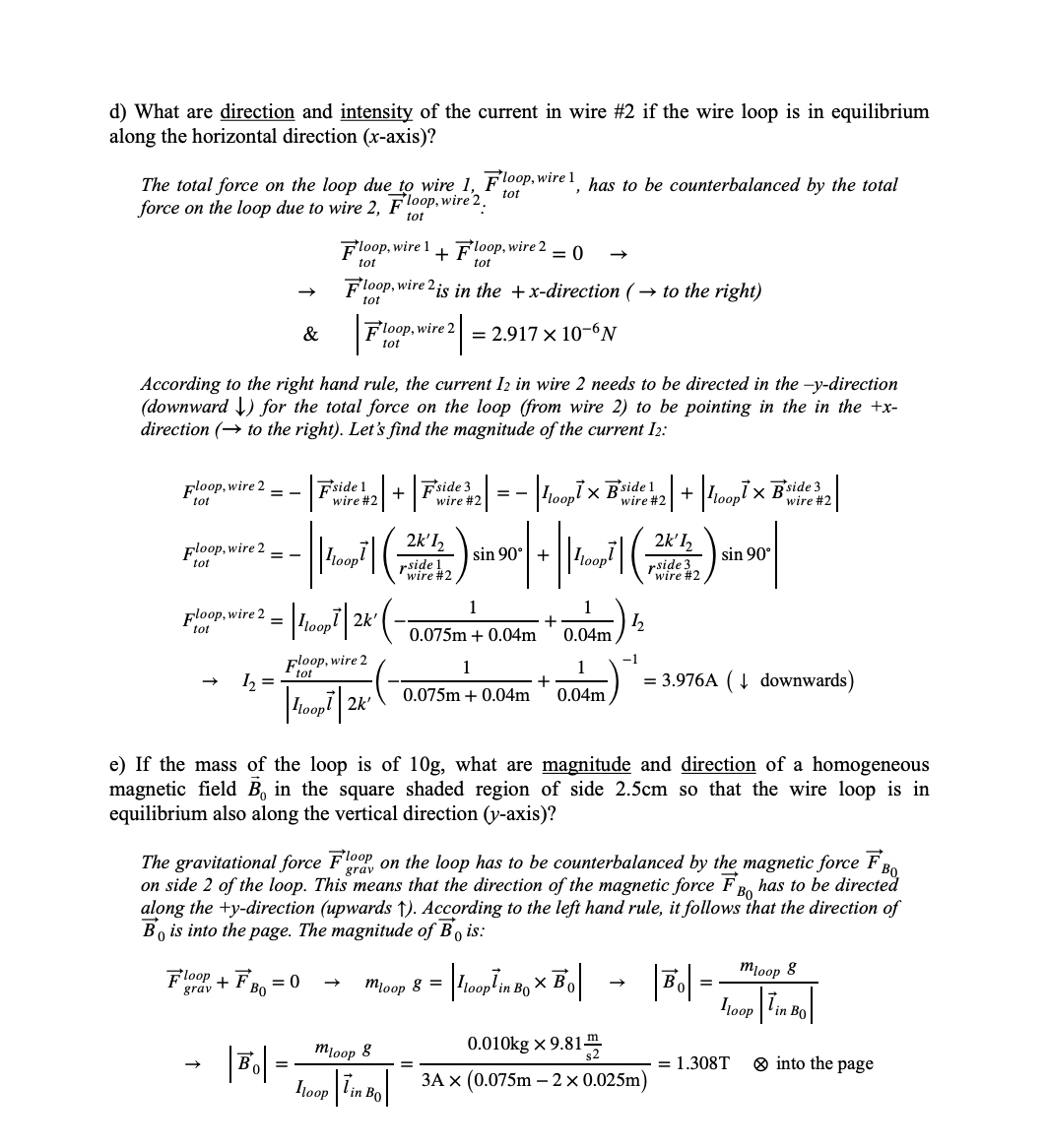
Problem 2 In the picture, you can see a square loop of side -.... 7.5cm that is floating immobile in the air because of the presence of the magnetic field Bo and the two 2.5 cm | 2.5 cm current carrying wires, wire 1 and wire 2. The current through wire 1 is 1/=7A and it is directed 1 =7A 12 = along the +y-direction. At the moment you do not 2.5 cm know the current through wire 2, but you will 7.5 cm.- 7.5 cm calculate it later. The current through the loop is 6 cm_ point 4 cm. Iloop=3A, and it is clockwise. The distances between L = 3A the wires and the loop are given in the picture. wire # wire loop Assume both wires are very long compared to the size of the loop. a) At point P on the wire loop, what are magnitude and direction of side #2 the magnetic field due to the current carrying wire #1? 2k'l1 2 X 10-7 Im 7A side #1 side #3 Blat P = = 2.33310 'T @(into page) rip 0.06m point P b) For the side of the wire loop containing point P: What are IL = 3A magnitude and direction of the magnetic force due to the current side #4 carrying wire #1? Fwired = hoopIx Brick = hoop7 | |B wire #1 Isin 90 Fside ! = 3A x 0.075m x 2.333 x 10-ST = 5.250 x 10-6N According to the right hand rule, one gets that F is in the -x-direction (+ to the left). c) What are magnitude and direction of the total magnetic force on the wire loop due to the current carrying wire #1? The magnetic force due to wire I at sides #2 and #4 cancel out. 2k'l 2X 10-7Im 7A Bside 3 wire #1 0.075m + 0.06m = 1.037 x 10-ST & (into page) wire #1 wire #1 = hoopIx Bride . = hoop?||Bride . | sin 90 Fside 3 wire # 1 1 = 3A x 0.075m x 1.037 x 10-ST = 2.333 x 10-6N According to the right hand rule, one gets that Fside , is in the +x-direction (- to the right). Floop, wire1 = - Fside. Flick + Fside. = - 5.250 x 10-6N + 2.333 x 10-ON Floop, wirel = - 2.917 x 10-N in the - x-direction ( + to the left)d) What are direction and intensity of the current in wire #2 if the wire loop is in equilibrium along the horizontal direction (x-axis)? The total force on the loop due to wire 1, Floop, wire, has to be counterbalanced by the total force on the loop due to wire 2, F loop, wire 2. tot Floop, wire 1 + Floop, wire2 = ( Floop, wire 2 is in the + x-direction ( - to the right) & tot Floop, wire 2 = 2.917 x 10-6N According to the right hand rule, the current Iz in wire 2 needs to be directed in the -y-direction (downward .) for the total force on the loop (from wire 2) to be pointing in the in the +x- direction (-> to the right). Let's find the magnitude of the current I2: loop, wire 2 _ _ tot Fside 1 wire # 2 + Fside 3 wire #2 = - hoop7 x Bside Bwire#2 | + |HoopT X Bwire #2 ploop, wire 2 = - 2k' 12 tot sin 90 + Hoop 2k' 12 rside 3 sin 90 wire #2 wire # 2 Floop, wire 2 = tot + 12 0.075m + 0.04m 0.04m loop, wire 12 = - [ tot = 3.976A ( 4 downwards) Hoop7 2 k 0.075m + 0.04m 0.04m e) If the mass of the loop is of 10g, what are magnitude and direction of a homogeneous magnetic field Bo in the square shaded region of side 2.5cm so that the wire loop is in equilibrium also along the vertical direction (y-axis)? The gravitational force F grav Of For on the loop has to be counterbalanced by the magnetic force F Bo on side 2 of the loop. This means that the direction of the magnetic force FB has to be directed along the +y-direction (upwards 1). According to the left hand rule, it follows that the direction of Bo is into the page. The magnitude of Bo is: Floop + FBO = 0 Mloop 8 = Hooplin BO X Bo - Bol = mloop 8 op Tin Bo Bo mloop 8 0.010kg x 9.81-m = 1.308T into the page Iloop lin Bo 3A x (0.075m - 2 x 0.025m)
Step by Step Solution
There are 3 Steps involved in it
Get step-by-step solutions from verified subject matter experts
