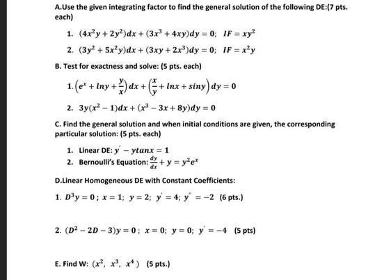
Question: A.Use the given integrating factor to find the general solution of the following DE:(7 pts. each) 1. (4x y + 2y' )dx + (3x3 +4xy)dy

Step by Step Solution
There are 3 Steps involved in it
1 Expert Approved Answer
Step: 1 Unlock
Question Has Been Solved by an Expert!
Get step-by-step solutions from verified subject matter experts
Step: 2 Unlock
Step: 3 Unlock
