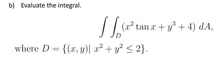
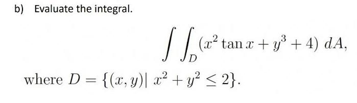
Question: b Evaluate the integral 12 D where D x y x y 2 x tan x y 4 dA b) Evaluate the integral. (x 2


b Evaluate the integral 12 D where D x y x y 2 x tan x y 4 dA
b) Evaluate the integral. (x 2 tana; y 3 -F 4) (IA, where D { (x, + 2}.
Step by Step Solution
There are 3 Steps involved in it
Get step-by-step solutions from verified subject matter experts
