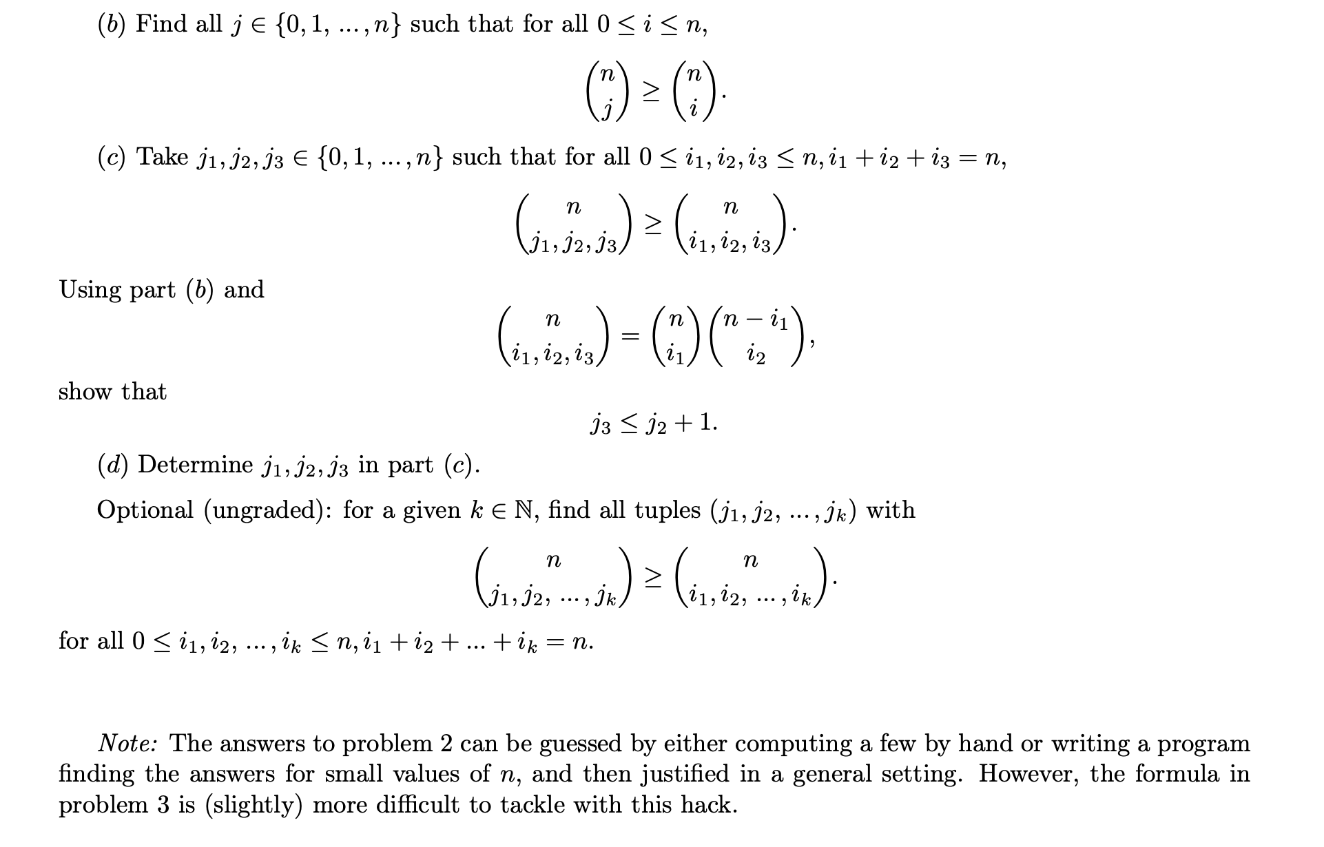
Question: ( b ) Find all jin { 0 , 1 , dots, n } such that for all 0 i n , ( [ n
b Find all jindots, such that for all
c Take dots, such that for all
Using part and
show that
d Determine in part
Optional ungraded: for a given kinN, find all tuples dots, with
dots,dots,
for all dots,dots
Note: The answers to problem can be guessed by either computing a few by hand or writing a program
finding the answers for small values of and then justified in a general setting. However, the formula in
problem is slightly more difficult to tackle with this hack.
bcanddplease
Step by Step Solution
There are 3 Steps involved in it
1 Expert Approved Answer
Step: 1 Unlock
Question Has Been Solved by an Expert!
Get step-by-step solutions from verified subject matter experts
Step: 2 Unlock
Step: 3 Unlock
