Question: Based on Krispy Kreme doughnut inc 2015. You required do space matrix and explanation, and BCG matrix with analysis based on the given picture above


Based on Krispy Kreme doughnut inc 2015. You required do space matrix and explanation, and BCG matrix with analysis based on the given picture above of the swot analysis
reference for the case Krispy Kreme : https://pdfcoffee.com/case-studykrispy-kreme-doughn-pdf-free.html


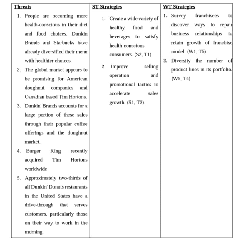
1. STRATEGIC IMPLEMENTATION AND CHOICES i. SWOT Analysis Strengths Weaknesses 1. The company has located in 23 1. International franchise same- different countries, store declined 1.7 per cent. 2. Affordable and has a high- 2. Product line slow to expend quality doughnut with strong with nothing outside "sweet visual appeal and a "one of-a- treats" to draw in health- kind" taste. conscious customers. 3. Market research shows appeal 3. Closing stores should be open extends to all significant globally at a steady rate to keep up demographic group include age with competitors' growth. and income. A. The net income of the company 4. Vertical Integration helps is decreasing ensure a high quality product. 5. KKD didn't serve customers 5. The doughnuts are sold in healthy food. KKD stores, grocery stores, gas stations, Walmart, and Target stores in the United States 11 Opportunities 50 Strategies WO Strategies L. KKD and Keurig Green Mountain 1. Continue grand openings of a 1. Open small but Coffee agreed to collaborate onstore in populated cities. ($2, profitable "hot shop' in developing decaf and regular KrispyD4,05) South America, Arica Kreme coffee for Keurig coffee2. To expand the business line on and Southeast Asia to makers. e-commerce. (SL, 02,03) expand globally (W3, 2. Customers can buy the products 03) from both the Keurig and KKD 2. Expand product line websites. with low-calories foods 3. The markets to be conquered are (W5,04) the United States, Asia or the Pacific, the Middle East, and Europe. 1. The company intends to increase Its International store count to 900 by January 2017. 5. The company is also expanding its international presence.Threats ST Strategies WT Strategies 1. People are becoming more 1. Create a wide variety of 1. Survey franchisees to health-conscious in their diet healthy food and discover ways to repair and food choices. Dunkin beverages to satisfy business relationships to Brands and Starbucks have health-conscious retain growth of franchise already diversified their menu consumers. ($2, TI) model. (W1. T5) with healthier choices. 2. Diversity the number of 2. The global market appears to 2. Improve selling product lines in its portfolio. operation and be promising for American (W5, T4) doughnut companies and promotional tactics to accelerate sales Canadian based Tim Hortons. 3. Dunkin' Brands accounts for a growth. (S1, T2) large portion of these sales through their popular coffee offerings and the doughnut market. 4. Burger King recently acquired Tim Hortons worldwide 5. Approximately two-thirds of all Dunkin' Donuts restaurants in the United States have a drive-through that serves customers, particularly those on their way to work in the morning
Step by Step Solution
There are 3 Steps involved in it
Get step-by-step solutions from verified subject matter experts
