Question: Based on the information provided, please correct the following , and answer questions 7 and 8. Thank you! Will upvote. Use Question 7 from HW5








Based on the information provided, please correct the following , and answer questions 7 and 8. Thank you! Will upvote.

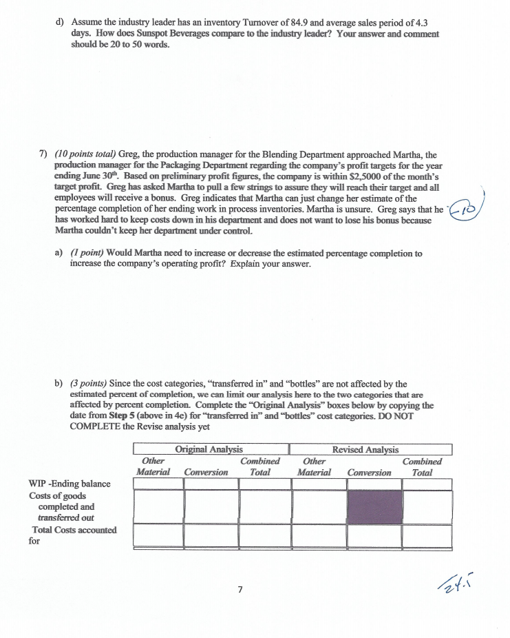
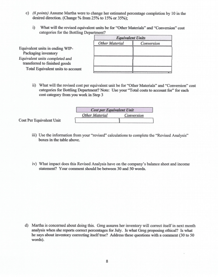
Use Question 7 from HW5 for Sunspot Beverages to complete the requirements for the project. Remember that Sunspot Beverages., Ltd of Fiji makes blended tropical fruit drinks in TWO stages (using TWO departments and TWO Work-in-Process inventory accounts). Fruit juices are extracted from fresh fruits and blended in the BLENDING of the HW5 on CONNECT The Blending Department was analyzed in Question 7 amounts provided as check figures. 1) (7points) For the BLENDING Department: a) Use the information "given" in CONNECT and determine the account balance of the account WIP-Blending at the beginning of June? Acaalare in w-lendiraa e beaof Se b) Use the "given" information and your "results" from CONNECT to write the journal entries for the following transactions as the relate to the account WP-Blending during June. i) Direct Material requested and added to the department during June. 1451C0 Assume 45% ofthe? wages for June in the Blending Department. ii) are direct labor. Write theJournal entry to record the 3186 he ace 31300 ii) Write the journal entry to record the overhead applied to the Blending Department for June. Remember Conversion costs are direct labor and overhead. 4S474 manu Cutned 5474 iv) Write the journal entry to record the costs for the items completed and transferred out of Blending Department and moved/added to Bottling Department. This JE should DECREAS WIP-Blending account and INCREASE WIP-Bottling account. TR be 18360 ??75 c) Post the information from a) an b) above to the T-accounts (Raw Material Inventory and WIP- Blending) provided at the end of the Project. Determine the ending balance. The ending balance should equal the dollar value in the top row of requirement 3 in your CONNECT problem. Check that it does. Use Question 7 from HW5 for Sunspot Beverages to complete the requirements for the project. Remember that Sunspot Beverages., Ltd of Fiji makes blended tropical fruit drinks in TWO stages (using TWO departments and TWO Work-in-Process inventory accounts). Fruit juices are extracted from fresh fruits and blended in the BLENDING of the HW5 on CONNECT The Blending Department was analyzed in Question 7 amounts provided as check figures. 1) (7points) For the BLENDING Department: a) Use the information "given" in CONNECT and determine the account balance of the account WIP-Blending at the beginning of June? Acaalare in w-lendiraa e beaof Se b) Use the "given" information and your "results" from CONNECT to write the journal entries for the following transactions as the relate to the account WP-Blending during June. i) Direct Material requested and added to the department during June. 1451C0 Assume 45% ofthe? wages for June in the Blending Department. ii) are direct labor. Write theJournal entry to record the 3186 he ace 31300 ii) Write the journal entry to record the overhead applied to the Blending Department for June. Remember Conversion costs are direct labor and overhead. 4S474 manu Cutned 5474 iv) Write the journal entry to record the costs for the items completed and transferred out of Blending Department and moved/added to Bottling Department. This JE should DECREAS WIP-Blending account and INCREASE WIP-Bottling account. TR be 18360 ??75 c) Post the information from a) an b) above to the T-accounts (Raw Material Inventory and WIP- Blending) provided at the end of the Project. Determine the ending balance. The ending balance should equal the dollar value in the top row of requirement 3 in your CONNECT problem. Check that it does
Step by Step Solution
There are 3 Steps involved in it
Get step-by-step solutions from verified subject matter experts
