Question: Based on the material covered in class and using the following information about the activities of a project, please identify: 1. the shortest amount of

Based on the material covered in class and using

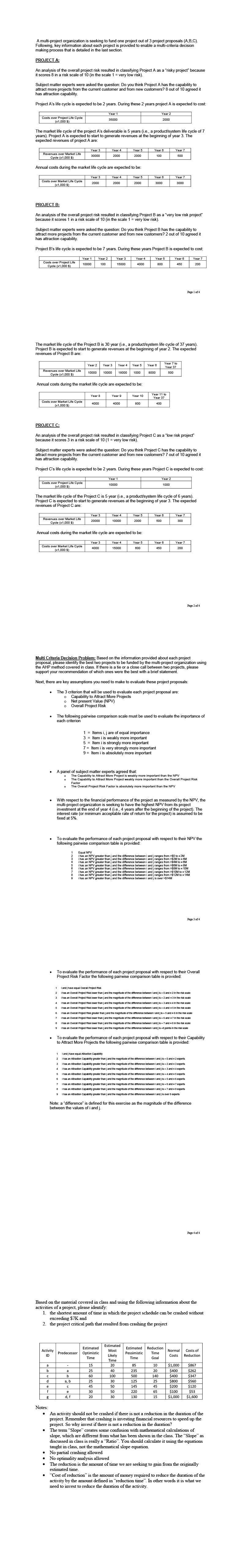
Based on the material covered in class and using the following information about the activities of a project, please identify: 1. the shortest amount of time in which the project schedule can be crashed without exceeding $7K and 2. the project critical path that resulted from crashing the project

Step by Step Solution

There are 3 Steps involved in it

1 Expert Approved Answer
Step: 1 Unlock blur-text-image
Question Has Been Solved by an Expert!

Get step-by-step solutions from verified subject matter experts

Step: 2 Unlock
Step: 3 Unlock

Students Have Also Explored These Related General Management Questions!