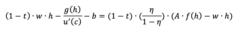
Question: Based on the Nash-bargained surplus-splitting condition W(w, h) - U(w, h) = (1-t) . n .J(w,h) along with the value expressions W(w, h), U(w, h)


Based on the Nash-bargained surplus-splitting condition W(w, h) - U(w, h) = (1-t) . n .J(w,h) along with the value expressions W(w, h), U(w, h) , and J(w, h) stated above, solve for an employee's real earnings w. h = ... in which the right-hand side does NOT CONTAIN W(w, h), U(w, h) , OR J(w, h). (You must determine the term in ellipsis ("...") on the right-hand side.) Display the final solution clearly by drawing a box around it, and clearly and carefully provide the algebraic steps/logic that lead to the final solution.\f
Step by Step Solution
There are 3 Steps involved in it
1 Expert Approved Answer
Step: 1 Unlock
Question Has Been Solved by an Expert!
Get step-by-step solutions from verified subject matter experts
Step: 2 Unlock
Step: 3 Unlock
